mrpSteering#

Executive Summary#

The intend of this module is to implement an MRP attitude steering law where the control output is a vector of commanded body rates. To use this module it is required to use a separate rate tracking servo control module, such as rateServoFullNonlinear, as well.

Message Connection Descriptions#

The following table lists all the module input and output messages. The module msg connection is set by the user from python. The msg type contains a link to the message structure definition, while the description provides information on what this message is used for.

../../../../../_images/moduleIOMrpSteering.svg

Figure 1: mrpSteering() Module I/O Illustration#

Module I/O Messages#

Msg Variable Name

Msg Type

Description

guidInMsg

AttGuidMsgPayload

Attitude guidance input message.

rateCmdOutMsg

RateCmdMsgPayload

Rate command output message.

Detailed Module Description#

The following text describes the mathematics behind the mrpSteering module. Further information can also be found in the journal paper Speed-Constrained Three-Axes Attitude Control Using Kinematic Steering.

Steering Law Goals#

This technical note develops a new MRP based steering law that drives a body frame \({\mathcal B}:\{ \hat{\mathbf b}_1, \hat{\mathbf b}_2, \hat{\mathbf b}_3 \}\) towards a time varying reference frame \({\mathcal R}:\{ \hat{\mathbf r}_1, \hat{\mathbf r}_2, \hat{\mathbf r}_3 \}\). The inertial frame is given by \({\mathcal N}:\{ \hat{\mathbf n}_1, \hat{\mathbf n}_2, \hat{\mathbf n}_3 \}\). The RW coordinate frame is given by \(\mathcal{W}_{i}:\{ \hat{\mathbf g}_{s_{i}}, \hat{\mathbf g}_{t_{i}}, \hat{\mathbf g}_{g_{i}} \}\). Using MRPs, the overall control goal is

(1)#\[ \mathbf\sigma_{\mathcal{B}/\mathcal{R}} \rightarrow 0\]

The reference frame orientation \(\mathbf \sigma_{\mathcal{R}/\mathcal{N}}\), angular velocity \(\mathbf\omega_{\mathcal{R}/\mathcal{N}}\) and inertial angular acceleration \(\dot{\mathbf \omega}_{\mathcal{R}/\mathcal{N}}\) are assumed to be known.

The rotational equations of motion of a rigid spacecraft with N Reaction Wheels (RWs) attached are given by Analytical Mechanics of Space Systems.

(2)#\[[I_{RW}] \dot{\mathbf \omega} = - [\tilde{\mathbf \omega}] \left( [I_{RW}] \mathbf\omega + [G_{s}] \mathbf h_{s} \right) - [G_{s}] {\mathbf u}_{s} + {\mathbf L}\]

where the inertia tensor \([I_{RW}]\) is defined as

(3)#\[[I_{RW}] = [I_{s}] + \sum_{i=1}^{N} \left (J_{t_{i}} \hat{\mathbf g}_{t_{i}} \hat{\mathbf g}_{t_{i}}^{T} + J_{g_{i}} \hat{\mathbf g}_{g_{i}} \hat{\mathbf g}_{g_{i}}^{T} \right)\]

The spacecraft inertial without the N RWs is \([I_{s}]\), while \(J_{s_{i}}\), \(J_{t_{i}}\) and \(J_{g_{i}}\) are the RW inertias about the body fixed RW axis \(\hat{\mathbf g}_{s_{i}}\) (RW spin axis), \(\hat{\mathbf g}_{t_{i}}\) and \(\hat{\mathbf g}_{g_{i}}\). The \(3\times N\) projection matrix \([G_{s}]\) is then defined as

(4)#\[[G_{s}] = \begin{bmatrix} \cdots {}^{B}{\hat{\mathbf g}}_{s_{i}} \cdots \end{bmatrix}\]

The RW inertial angular momentum vector \({\mathbf h}_{s}\) is defined as

(5)#\[h_{s_{i}} = J_{s_{i}} (\omega_{s_{i}} + \Omega_{i})\]

Here \(\Omega_{i}\) is the \(i^{\text{th}}\) RW spin relative to the spacecraft, and the body angular velocity is written in terms of body and RW frame components as

(6)#\[\mathbf\omega = \omega_{1} \hat{\mathbf b}_{1} + \omega_{2} \hat{\mathbf b}_{2} + \omega_{3} \hat{\mathbf b}_{3} = \omega_{s_{i}} \hat{\mathbf g}_{s_{i}} + \omega_{t_{i}} \hat{\mathbf g}_{t_{i}} + \omega_{g_{i}} \hat{\mathbf g}_{g_{i}}\]

MRP Steering Law#

Steering Law Stability Requirement#

As is commonly done in robotic applications where the steering laws are of the form \(\dot{\mathbf x} = {\mathbf u}\), this section derives a kinematic based attitude steering law. Let us consider the simple Lyapunov candidate function:

(7)#\[ V ( \mathbf\sigma_{\mathcal{B}/\mathcal{R}} ) = 2 \ln \left ( 1 + \mathbf\sigma_{\mathcal{B}/\mathcal{R}} ^{T} \mathbf\sigma_{\mathcal{B}/\mathcal{R}} \right)\]

in terms of the MRP attitude tracking error \(\mathbf\sigma_{\mathcal{B}/\mathcal{R}}\). Using the MRP differential kinematic equations

(8)#\[\begin{split} \dot{\mathbf\sigma}_{\mathcal{B}/\mathcal{R}} &= \frac{1}{4}[B(\mathbf\sigma_{\mathcal{B}/\mathcal{R}})] {}^{B}{\mathbf\omega}_{\mathcal{B}/\mathcal{R}} \\ &= \frac{1}{4} \left[ (1-\sigma_{\mathcal{B}/\mathcal{R}}^{2})[I_{3\times 3} + 2 [\tilde{\mathbf\sigma}_{\mathcal{B}/\mathcal{R}}] + 2 \mathbf\sigma_{\mathcal{B}/\mathcal{R}} \mathbf\sigma_{\mathcal{B}/\mathcal{R}}^{T} \right] {}^{B}{\mathbf\omega}_{\mathcal{B}/\mathcal{R}}\end{split}\]

where \(\sigma_{\mathcal{B}/\mathcal{R}}^{2} = \mathbf\sigma_{\mathcal{B}/\mathcal{R}}^{T} \mathbf\sigma_{\mathcal{B}/\mathcal{R}}\), the time derivative of \(V\) is

(9)#\[ \dot V =\mathbf\sigma_{\mathcal{B}/\mathcal{R}}^{T} \left( {}^{B}{ \mathbf\omega}_{\mathcal{B}/\mathcal{R}} \right)\]

To create a kinematic steering law, let \({\mathcal{B}}^{\ast}\) be the desired body orientation, and \(\mathbf\omega_{{\mathcal{B}}^{\ast}/\mathcal{R}}\) be the desired angular velocity vector of this body orientation relative to the reference frame \(\mathcal{R}\). The steering law requires an algorithm for the desired body rates \(\mathbf\omega_{{\mathcal{B}}^{\ast}/\mathcal{R}}\) relative to the reference frame make \(\dot V\) in Eq. (9) negative definite. For this purpose, let us select

(10)#\[ {}^{B}{\mathbf\omega}_{{\mathcal{B}}^{\ast}/\mathcal{R}} = - {\mathbf f}(\mathbf\sigma_{\mathcal{B}/\mathcal{R}})\]

where \({\mathbf f}(\mathbf\sigma)\) is an even function such that

(11)#\[ \mathbf\sigma ^{T} {\mathbf f}(\mathbf\sigma) > 0\]

The Lyapunov rate simplifies to the negative definite expression:

(12)#\[ \dot V = - \mathbf\sigma_{\mathcal{B}/\mathcal{R}}^{T} {\mathbf f}(\mathbf\sigma_{\mathcal{B}/\mathcal{R}}) < 0\]

Saturated MRP Steering Law#

A very simple example would be to set

(13)#\[ {\mathbf f} (\mathbf\sigma_{\mathcal{B}/\mathcal{R}}) = K_{1} \mathbf\sigma_{\mathcal{B}/\mathcal{R}}\]

where \(K_{1}>0\). This yields a kinematic control where the desired body rates are proportional to the MRP attitude error measure. If the rate should saturate, then \({\mathbf f}()\) could be defined as

(14)#\[\begin{split} {\mathbf f}(\mathbf\sigma_{\mathcal{B}/\mathcal{R}}) = \begin{cases} K_{1} \sigma_{i} &\text{if } |K_{1} \sigma_{i}| \le \omega_{\text{max}} \\ \omega_{\text{max}} \text{sgn}(\sigma_{i}) &\text{if } |K_{1} \sigma_{i}| > \omega_{\text{max}} \end{cases}\end{split}\]

where

\[\mathbf\sigma_{\mathcal{B}/\mathcal{R}} = (\sigma_{1}, \sigma_{2}, \sigma_{3})^{T}\]

A smoothly saturating function is given by

(15)#\[{\mathbf f}(\mathbf\sigma_{\mathcal{B}/\mathcal{R}}) = \arctan \left( \mathbf\sigma_{\mathcal{B}/\mathcal{R}} \frac{K_{1} \pi}{2 \omega_{\text{max}}} \right) \frac{2 \omega_{\text{max}}}{\pi}\]

where

(16)#\[\begin{split} {\mathbf f}(\mathbf\sigma_{\mathcal{B}/\mathcal{R}}) = \begin{pmatrix} f(\sigma_{1})\\ f(\sigma_{2})\\ f(\sigma_{3}) \end{pmatrix}\end{split}\]

Here as \(\sigma_{i} \rightarrow \infty\) then the function \(f\) smoothly converges to the maximum speed rate \(\pm \omega_{\text{max}}\). For small \(|\mathbf\sigma_{\mathcal{B}/\mathcal{R}}|\), this function linearizes to

\[{\mathbf f}(\mathbf\sigma_{\mathcal{B}/\mathcal{R}}) \approx K_{1} \mathbf\sigma_{\mathcal{B}/\mathcal{R}} + \text{ H.O.T}\]

If the MRP shadow set parameters are used to avoid the MRP singularity at 360 deg, then \(|\mathbf\sigma_{\mathcal{B}/\mathcal{R}}|\) is upper limited by 1. To control how rapidly the rate commands approach the \(\omega_{\text{max}}\) limit, Eq. (15) is modified to include a cubic term:

(17)#\[ f( \sigma_{i}) = \arctan \left( (K_{1} \sigma_{i} +K_{3} \sigma_{i}^{3}) \frac{ \pi}{2 \omega_{\text{max}}} \right) \frac{2 \omega_{\text{max}}}{\pi}\]

The order of the polynomial must be odd to keep ${mathbf f}()$ an even function. A nice feature of Eq. (17) is that the control rate is saturated individually about each axis. If the smoothing component is removed to reduce this to a bang-band rate control, then this would yield a Lyapunov optimal control which minimizes \(\dot V\) subject to the allowable rate constraint \(\omega_{\text{max}}\).

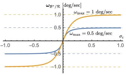
../../../../../_images/fSigmaOptionsA.jpg

Figure 2: \(\omega_{\text{max}}\) dependency with \(K_{1} = 0.1\), \(K_{3} = 1\)#

../../../../../_images/fSigmaOptionsB.jpg

Figure 3: \(K_{1}\) dependency with \(\omega_{\text{max}}\) = 1 deg/s, \(K_{3} = 1\)#

../../../../../_images/fSigmaOptionsC.jpg

Figure 4: \(K_{3}\) dependency with \(\omega_{\text{max}}\) = 1 deg/s, \(K_{1} = 0.1\)#

Figures 2-4 illustrate how the parameters \(\omega_{\text{max}}\), \(K_{1}\) and \(K_{3}\) impact the steering law behavior. The maximum steering law rate commands are easily set through the \(\omega_{\text{max}}\) parameters. The gain \(K_{1}\) controls the linear stiffness when the attitude errors have become small, while \(K_{3}\) controls how rapidly the steering law approaches the speed command limit.

The required velocity servo loop design is aided by knowing the body-frame derivative of \({}^{B}{\mathbf\omega}_{{\mathcal{B}}^{\ast}/\mathcal{R}}\) to implement a feed-forward components. Using the \({\mathbf f}()\) function definition in Eq. (16), this requires the time derivatives of \(f(\sigma_{i})\).

\[\begin{split}\frac{{}^{B}{\text{d} ({}^{B}{\mathbf\omega}_{{\mathcal{B}}^{\ast}/\mathcal{R}} ) }}{\text{d} t} = {\mathbf\omega}_{{\mathcal{B}}^{\ast}/\mathcal{R}} ' = - \frac{\partial {\mathbf f}}{\partial \mathbf\sigma_{{\mathcal{B}}^{\ast}/\mathcal{R}}} \dot{\mathbf\sigma}_{{\mathcal{B}}^{\ast}/\mathcal{R}} = - \left[ \begin{matrix} \frac{\partial f}{\partial \sigma_{1}} \dot{ \sigma}_{1} \\ \frac{\partial f}{\partial \sigma_{2}} \dot{ \sigma}_{2} \\ \frac{\partial f}{\partial \sigma_{3}} \dot{ \sigma}_{3} \end{matrix} \right]\end{split}\]

where

\[\begin{split}\dot{\mathbf\sigma} _{{\mathcal{B}}^{\ast}/\mathcal{R}} = \left[ \begin{matrix} \dot\sigma_{1}\\ \dot\sigma_{2}\\ \dot\sigma_{3} \end{matrix} \right] = \frac{1}{4}[B(\mathbf\sigma_{{\mathcal{B}}^{\ast}/\mathcal{R}})] {}^{B}{\mathbf\omega}_{{\mathcal{B}}^{\ast}/\mathcal{R}}\end{split}\]

Using the general \(f()\) definition in Eq. (17), its sensitivity with respect to \(\sigma_{i}\) is

\[\frac{ \partial f }{ \partial \sigma_{i} } = \frac{ (K_{1} + 3 K_{3} \sigma_{i}^{2}) }{ 1+(K_{1}\sigma_{i} + K_{3} \sigma_{i}^{3})^{2} \left(\frac{\pi}{2 \omega_{\text{max}}}\right)^{2} }\]

Module Assumptions and Limitations#

This control assumes the spacecraft is rigid, and that a fast enough rate control sub-servo system is present.

User Guide#

The module is configured by:

module = mrpSteering.MrpSteering()
module.modelTag = "mrpSteering"
module.setK1(K1)
module.setK3(K3)
module.setOmegaMax(omega_max)

If the outer loop feed-forward term should be ignored:

module.ignoreFeedforward()

Class MrpSteering#

class MrpSteering : public SysModel#

Data structure for the MRP feedback attitude control routine.

Public Functions

void reset(uint64_t callTime) override#

This method performs a complete reset of the module. Local module variables that retain time varying states between function calls are reset to their default values.

Parameters:

callTime – The clock time at which the function was called (nanoseconds)

Returns:

void

void updateState(uint64_t callTime) override#

This method takes the attitude and rate errors relative to the Reference frame, as well as the reference frame angular rates and acceleration

Parameters:

callTime – The clock time at which the function was called (nanoseconds)

Returns:

void

void setK1(const double gain)#

Set the linear feedback gain K1

Parameters:

gain – [-] linear feedback gain K1

Returns:

void

double getK1() const#

Get the linear feedback gain K1

Returns:

double

void setK3(const double gain)#

Set the cubic feedback gain K3

Parameters:

gain – [-] cubic feedback gain K3

Returns:

void

double getK3() const#

Get the cubic feedback gain K3

Returns:

double

void setOmegaMax(const double omega)#

Set the maximum rate command of steering control

Parameters:

omega – [-] maximum rate command of steering control

Returns:

void

double getOmegaMax() const#

Get the maximum rate command of steering control

Returns:

double

void setIgnoreFeedforward(const bool ignore)#

Set whether the outer loop feed-forward is ignored

Parameters:

ignore – boolean whether the outer loop feed-forward should be ignored

Returns:

void

bool getIgnoreFeedforward() const#

Get whether the outer loop feed-forward is ignored

Returns:

bool

Public Members

Message<RateCmdMsgPayload> rateCmdOutMsg#

rate command output message

ReadFunctor<AttGuidMsgPayload> guidInMsg#

attitude guidance input message